Vì sao đầu tư đường sắt cao tốc lỗ nhưng nhiều nước vẫn làm?

(PLO)- Nhiều nước xây dựng đường sắt cao tốc thua lỗ nhưng họ vẫn làm bởi tính hiệu quả tổng thể do dự án mang lại cho toàn bộ nền kinh tế.

0:00 / 0:00
0:00
  • Nam miền Bắc
  • Nữ miền Bắc
  • Nữ miền Nam
  • Nam miền Nam

Trong báo cáo nghiên cứu tiền khả thi dự án đường sắt cao tốc Bắc – Nam và các báo cáo trình Quốc hội, Bộ GTVT luôn khẳng định việc đầu tư tuyến đường sắt tốc độ thiết kế 350km/h không thu hồi được vốn và quá trình vận hành những năm đầu sẽ lỗ hàng triệu USD.

Không thể thu hồi vốn đã đầu tư xây dựng

Sơ bộ tổng mức đầu tư dự án đường sắt cao tốc Bắc – Nam được Bộ GTVT tính toán khoảng 1.713.594 tỉ đồng, tương đương 67,34 tỉ USD. Ông Nguyễn Ngọc Đông, nguyên Thứ trưởng Bộ GTVT khẳng định “việc thu hồi vốn đã đầu tư xây dựng dự án này là không thể”. Điều này cũng được Bộ GTVT xác nhận.

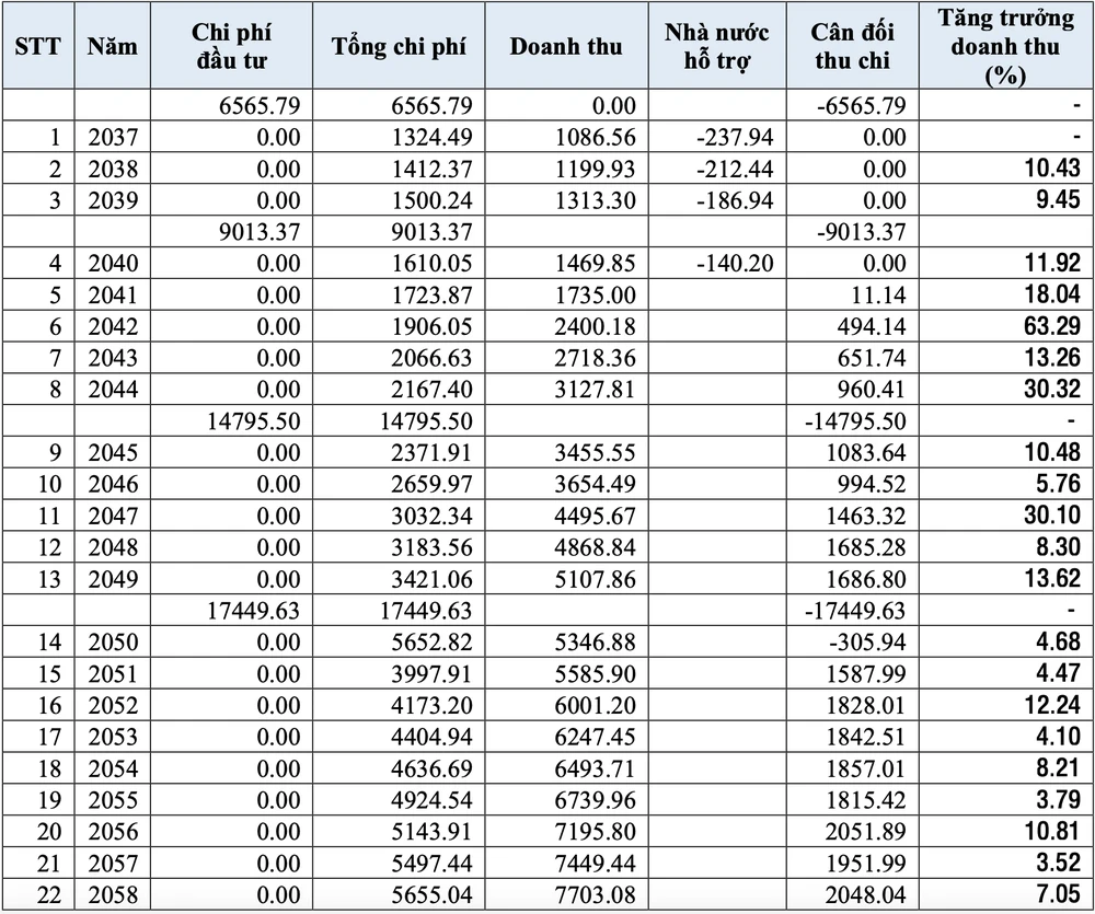
Còn quá trình vận hành dự án, Bộ GTVT dự kiến Nhà nước sẽ bỏ ra 6,57 tỉ USD (được tính trong tổng mức đầu tư dự án) để mua sắm phương tiện và đào tạo nhân lực, giao cho Tổng công ty Đường sắt Việt Nam (VNR) tiếp nhận khai thác trong giai đoạn đầu. Từ năm 2040 - 2060 cần phải tiếp tục đầu tư thêm 13,31 tỉ USD để mua sắm, thay thế các thiết bị.

Sở dĩ bốn năm đầu thua lỗ vì dự án chỉ có nguồn thu duy nhất từ bán vé (1.421 đồng/km) với số lượng lấp đầy hành khách dự báo chưa cao nên khó cân đối được thu chi. Theo tính toán của Bộ GTVT, doanh thu chỉ bù đắp được chi phí vận hành, bảo trì phương tiện, không đủ để chi trả bảo trì cơ sở hạ tầng.

Vì vậy, Nhà nước sẽ hỗ trợ bổ sung kinh phí cho doanh nghiệp để thực hiện công tác bảo trì hạ tầng tương tự như đang làm với dự án đường sắt hiện hữu. Tuy nhiên, khoản tiền này lớn hơn nhiều, cụ thể trong năm 2037 khoảng 238 triệu USD, năm 2038 khoảng 213 triệu USD, năm 2039 khoảng 187 triệu USD, năm 2040 khoảng 140 triệu USD.

Dự án đường sắt cao tốc Bắc - Nam được dự báo sẽ lỗ 4 năm đầu tiên. (Ảnh sử dụng công nghệ AI). Ảnh: V.LONG
Dự án đường sắt cao tốc Bắc - Nam được dự báo sẽ lỗ trong 4 năm đầu tiên. (Ảnh sử dụng công nghệ AI). Ảnh: V.LONG

Các năm sau đó nếu cân đối được thu chi thì có một khó khăn tiếp đó là đến kỳ thay thế thiết bị, phương tiện. “Đây là chi phí rất lớn, doanh thu không đủ bù, đòi hỏi tiếp tục có sự hỗ trợ của Nhà nước cho doanh nghiệp khai thác vận tải…”- Bộ GTVT đánh giá.

Tuy nhiên, Bộ GTVT cho rằng doanh thu còn phụ thuộc rất lớn vào số liệu dự báo nhu cầu vận tải. Vì vậy, trong bước tiếp theo và kể cả trong giai đoạn khai thác, cơ quan chức năng cần tiếp tục tính toán chi tiết các thông số này và cập nhật phương án tài chính cho phù hợp.

Tín hiệu vui là khoản tiền 19,88 tỉ USD do Nhà nước và doanh nghiệp bỏ ra đầu tư mua sắm thiết bị vận hành cho giai đoạn đến năm 2060, Bộ GTVT dự báo có khả năng thu hồi. Thời gian thu hồi vốn mất 33,61 năm trong điều kiện thông thường, trường hợp doanh thu giảm 5%, thời gian hoàn vốn ước tính kéo dài đến 41,8 năm. Xét trong trường hợp bất lợi, doanh thu giảm 10% không thể hoàn vốn cho doanh nghiệp.

Hầu hết đường sắt cao tốc thiết kế trên 320km/h đều lỗ

Với cách tính toán trên, tư vấn thẩm tra báo cáo nghiên cứu tiền khả thi dự án đường sắt cao tốc Bắc - Nam (do Hội đồng thẩm định Nhà nước thuê), cho rằng báo cáo nghiên cứu tiền khả thi được tính toán theo kết quả dự báo nhu cầu vận tải mà không tính theo biểu đồ chạy tàu ứng với số lượng đoàn tàu và hành khách lấp đầy, hệ số chuyến đi nên tiềm ẩn nhiều rủi ro về doanh thu thực tế.

Hầu hết các tuyến đường sắt cao tốc vận hành với dải tốc độ 320-350km/h đều thua lỗ khi khai thác. Trên thế giới chỉ có khoảng bốn tuyến đường sắt cao tốc vận hành ở tốc độ trên 300 km/h có hiệu quả như tuyến Paris - Lyon (dài 417 km, giá vé 3.886 đồng/km), Tokyo - Osaka (dài 515 km, giá vé 4.693 nghìn đồng/km), Bắc Kinh - Thượng Hải (dài 1.318 km, giá vé 1.754 đồng/km), Bắc Kinh - Thiên Tân (dài 120km, giá vé 2.233 đồng/km).

duong-sat-cao-toc-bac-nam-23.png
Doanh thu và lợi nhuận của dự án đường sắt cao tốc Bắc - Nam khi đi vào vận hành. Ảnh: V.LONG

Tuy nhiên, các tuyến này đều đi qua các vùng có mật độ dân cư rất cao, thu nhập GDP đầu người cao hơn nhiều lần so với Việt Nam. Cụ thể, GDP bình quân/người của Pháp năm 2023 là 44.408 USD; Nhật Bản là 33.950 USD; Trung Quốc: 12.597 USD (cả nước), 21.261 USD (Bắc Kinh), 20.130 USD (Thượng Hải), 18.241 USD (Thiên Tân). Mức giá của các tuyến này đều rất cao, cao hơn nhiều so với giá vé máy bay và vượt xa mức có thể chi trả của người dân Việt Nam (với GDP bình quân/ người hiện nay là 4.284 USD).

Do đó, tư vấn thẩm tra đánh giá việc tính toán doanh thu cao với giá vé thấp (2037 là 1.421 đồng/km) để đánh giá hiệu quả tài chính của dự án sẽ có độ tin cậy không cao.

Để có số liệu chính xác đánh giá tính khả thi của dự án, tư vấn kiến nghị bước báo cáo nghiên cứu khả thi cần sử dụng phần mềm mô hình hóa, mô phỏng và phân tích kế hoạch chạy các loại tàu khác nhau trên tuyến. Từ đó cơ quan chức năng đề xuất kế hoạch mua sắm phương tiện phù hợp cũng như tính toán doanh thu, chi phí vận hành, bảo trì, bảo dưỡng… đánh giá hiệu quả tài chính và tính khả thi của dự án.

Ngoài ra, tư vấn cũng kiến nghị trong bước lập báo cáo khả thi cần rà soát kỹ lưỡng, chuẩn xác lại số liệu và thuyết minh rõ ràng về phương pháp tính toán hiệu quả tài chính dự án để làm cơ sở báo cáo cấp có thẩm quyền xem xét quyết định.

Bài học từ Trung Quốc

Theo đại diện Bộ GTVT, kinh nghiệm của quốc tế cho thấy khi quyết định đầu tư đường sắt cao tốc họ đều xem xét hiệu quả tổng thể do dự án mang lại cho toàn bộ nền kinh tế. Còn tính riêng lẻ dự án khó có “dương”.

Thực tiễn chứng minh sau khi tuyến Bắc Kinh - Thượng Hải vào khai thác năm 2012, GRDP các địa phương dọc tuyến tăng lên gấp đôi sau 10 năm, tính bình quân 11%/năm. Đồng thời, đây là phương thức vận tải xanh, là giải pháp hữu hiệu để góp phần thực hiện cam kết giảm phát thải ròng bằng “0” vào năm 2050.

Thêm vào đó, đầu tư dự án là “cú hích” cho phát triển kinh tế; thúc đẩy du lịch và phát triển đô thị hóa, toàn cầu hóa nhanh hơn; phát triển công nghiệp xây dựng, công nghiệp vật liệu xây dựng…

duong-sat-cao-toc-bac-nam-2.jpg
Tuyến đường sắt cao tốc Bắc - Nam sẽ là cú hích cho nền kinh tế. Ảnh minh họa: V.LONG

Tác dụng trực tiếp của dự án là tiết kiệm thời gian di chuyển, giúp chia sẻ và phát huy tối đa thế mạnh của hệ thống kết cấu hạ tầng giao thông.

Một tuyến đường sắt cao tốc có năng lực vận chuyển tới 20.000 hành khách mỗi giờ, bằng năng lực vận chuyển của tuyến đường bộ cao tốc 10 làn cộng với hai sân bay hoặc đường bộ tốc độ cao 20 làn xe, mà không bị ùn tắc giao thông hoặc chậm giờ.

“Ngoài ra, đường sắt cao tốc ít chiếm dụng đất so với đường bộ cao tốc nhiều lần. Cụ thể đường sắt đôi chỉ chiếm dụng 35-45m, trong khi đó một tuyến đường bộ cao tốc 20 làn xe có năng lực vận chuyển tương đương chiếm dụng là 120m-140m mặt đường…”- đại diện Bộ GTVT cho hay.

Hai giai đoạn của dự án đều tác động tích cực đến kinh tế

Thứ trưởng Bộ KH&ĐT Trần Quốc Phương cho biết có thể chia dự án ra hai giai đoạn đó là xây dựng và vận hành. Cả hai đều tác động đến tăng trưởng kinh tế.

Cụ thể, qua đánh giá sơ bộ, nếu như số tiền xấp xỉ 70 tỉ USD được đưa vào triển khai từ nay đến năm 2035 sẽ làm tăng khoảng 0,97 điểm % GDP. Đây là con số hết sức đáng kể, góp phần vào tăng trưởng chung của nền kinh tế.

Phân tích sâu hơn, ông nói công trình này có tác động trực tiếp đến khoảng 7-8 lĩnh vực. Chẳng hạn như lĩnh vực cung cấp vật liệu xây dựng cát, đá, sỏi hay vật liệu đặc chủng như sắt, thép để làm đường ray; tác động đến tài chính, ngân hàng hay dịch vụ về huy động vốn…

Thêm vào đó, dự án còn có tác động lan tỏa đến phát triển đô thị. Bởi lẽ, định hướng dự án mỗi ga đều có các khu đô thị đính kèm, đây là một động lực cho phát triển.

Đáng chú ý, dự án tạo công ăn việc làm cho hàng triệu người. Bởi lẽ, đây là dự án quy mô cực lớn, để huy động lực lượng tham gia vào xây dựng công trình này sẽ tạo ra công ăn việc làm lớn.

Khi dự án đi vào khai thác, rõ ràng sẽ làm gia tăng năng lực cạnh tranh của nền kinh tế, đặc biệt là giảm chi phí logistic, góp phần đáng kể cho phát triển các ngành công nghiệp, ngành sản xuất kinh doanh có sử dụng đến tuyến đường sắt này.

“Sơ bộ chúng tôi đánh giá như vậy và chắc chắn sau này sẽ có những con số cụ thể hơn. Chúng tôi sẽ thường xuyên cập nhật và có những đánh giá chi tiết hơn…”- ông Phương nói.

Đừng bỏ lỡ

Video đang xem nhiều

Đọc thêm