Tiếp viên Eva Air đình công, 15 chuyến bay từ Tân Sơn Nhất hủy

(PLO)- Từ ngày 20-6 đến ngày 28-6 các chuyến bay của hãng từ sân bay quốc tế Tân Sơn Nhất, TP.HCM đến sân bay quốc tế Đào Viên, Đài Bắc và ngược lại sẽ bị huỷ do tiếp viên đình công.

Cảng hàng không quốc tế Tân Sơn Nhất, cho biết theo thông báo của hãng hàng không Eva Air, từ ngày 20-6 đến ngày 28-6 các chuyến bay của hãng từ sân bay quốc tế Tân Sơn Nhất, TP.HCM đến sân bay quốc tế Đào Viên, Đài Bắc và ngược lại sẽ bị huỷ do tiếp viên đình công.

Hiện lãnh đạo hãng hàng không Eva Air hiện đang đàm phán với liên đoàn tiếp viên để sớm đạt được kết quả thoả thuận, đưa hoạt động khai thác các chuyến bay Eva Air trở lại bình thường.

Theo đó để chủ động sắp xếp kế hoạch trong việc đi lại của mình, Cảng hàng không quốc tế Tân Sơn Nhất đề nghị hành khách chú ý theo dõi thông tin về sự kiện này, đồng thời liên hệ với hãng hàng không để được tư vấn và sắp xếp các chuyến bay phù hợp với hành trình cá nhâ­n của mình.

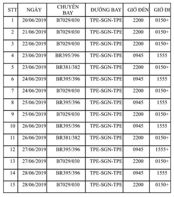
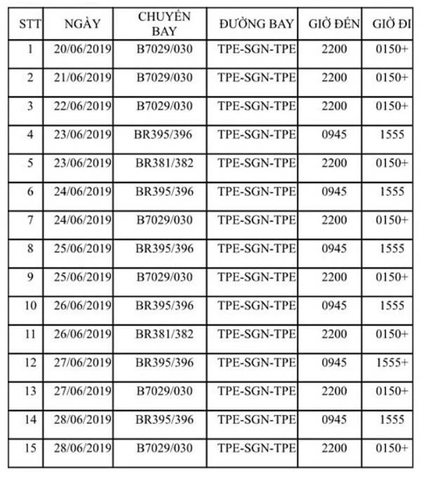
Lịch huỷ chuyến của hãng Eva Air tại sân bay Tân Sơn Nhất như sau:

Hãng Eva Air là một công ty con của Tập đoàn Evergreen Group, EVA Air là hãng hàng không tư nhân lớn nhất Đài Loan. Trụ sở chính của hãng toạ lạc tại Đào Viên, Đài Loan.

Hãng này hiện đang sở hữu đội bay mạnh với 73 loại máy bay cả về chở hàng hóa lẫn vận chuyển hành khách. Đội bay của hãng này được trang bị các dòng hiện đại, gồm Abus –A321-200, Airbus- A330-200, Airbus- A300, Boeing B747-400 và Boeing B777 -300ER,…

Tại Việt Nam hành khách có thể mua vé của hãng này để đến các quốc gia châu Á như Trung Quốc, Thái Lan, Indonesia,...

Đừng bỏ lỡ

Video đang xem nhiều

Đọc thêm