Đề minh họa thi vào lớp 10 năm học 2024-2025 của Hà Nội

(PLO)- Sở GD&ĐT TP Hà Nội công bố đề minh họa thi vào lớp 10 của 7 môn học để học sinh có hướng ôn tập trước kỳ thi đầu tiên theo chương trình mới.

0:00 / 0:00
0:00
  • Nam miền Bắc
  • Nữ miền Bắc
  • Nữ miền Nam
  • Nam miền Nam

Sở GD&ĐT TP Hà Nội vừa công bố cấu trúc, đề minh họa thi vào lớp 10 của 7 môn học gồm: Ngữ văn, Toán, tiếng Anh, Khoa học tự nhiên, Lịch sử và Địa lí, Giáo dục công dân và Tin học.

Theo đó, cấu trúc định dạng đề thi là căn cứ để xây dựng ngân hàng câu hỏi thi và ra đề thi trong kỳ thi tuyển sinh vào lớp 10 THPT của thành phố theo Chương trình giáo dục phổ thông 2018.

Đề môn Ngữ văn và Toán có hình thức tự luận, thời gian làm bài 120 phút. Các môn còn lại theo dạng trắc nghiệm với 60 phút.

Cụ thể, đề minh họa thi vào lớp 10 của các môn như sau:

Môn Ngữ văn:

đề minh họa thi vào lớp 10 0.jpg
đề minh họa thi vào lớp 10 1.jpg
đề minh họa thi vào lớp 10 2.jpg

Môn Toán:

đề minh họa thi vào lớp 10 toán.jpg
đề minh họa thi vào lớp 10 toán 1.jpg
đề minh họa thi vào lớp 10 toán 2.jpg

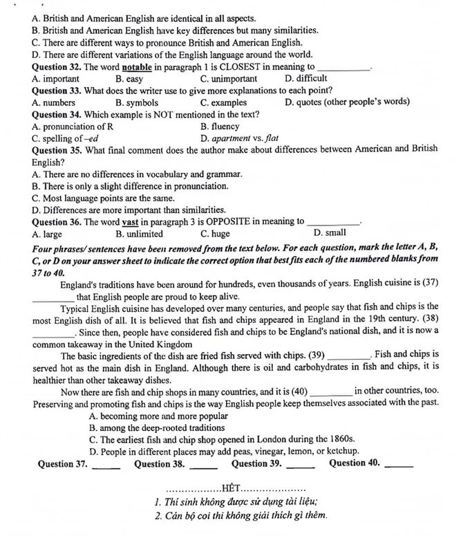
Môn tiếng Anh:

đề minh họa thi vào lớp 10 ta.jpg
đề minh họa thi vào lớp 10 ta 1.jpg
đề minh họa thi vào lớp 10 ta 2.jpg
đề minh họa thi vào lớp 10 ta 3.jpg
đề minh họa thi vào lớp 10 ta 4.jpg

Môn Khoa học tự nhiên:

đề minh họa thi vào lớp 10 khtn.jpg
đề minh họa thi vào lớp 10 khtn 1.jpg
đề minh họa thi vào lớp 10 khtn 2.jpg
đề minh họa thi vào lớp 10 khtn 3.jpg
đề minh họa thi vào lớp 10 khtn 4.jpg

Môn Lịch sử và Địa lí:

đề minh họa thi vào lớp 10 khtn ls.jpg
đề minh họa thi vào lớp 10 khtn ls 1.jpg
đề minh họa thi vào lớp 10 khtn ls 2.jpg
đề minh họa thi vào lớp 10 khtn ls 3.jpg
đề minh họa thi vào lớp 10 khtn ls 4.jpg

Môn Giáo dục công dân:

đề minh họa thi vào lớp 10 gdcd.jpg
đề minh họa thi vào lớp 10 gdcd 1.jpg
đề minh họa thi vào lớp 10 gdcd 2.jpg
đề minh họa thi vào lớp 10 gdcd 3.jpg
đề minh họa thi vào lớp 10 gdcd 4.jpg

Môn Tin học:

đề minh họa thi vào lớp 10 tin.jpg
đề minh họa thi vào lớp 10 tin 1.jpg
đề minh họa thi vào lớp 10 tin 2.jpg
đề minh họa thi vào lớp 10 tin 3.jpg
đề minh họa thi vào lớp 10 tin 4.jpg
đề minh họa thi vào lớp 10 tin 5.jpg
đề minh họa thi vào lớp 10 tin 6.jpg

Đừng bỏ lỡ

Video đang xem nhiều

Đọc thêm