Gợi ý đáp án đề Toán thi lớp 10 ở Hà Nội

(PLO)- Nhiều thí sinh đánh giá đề Toán thi lớp 10 của Hà Nội năm nay vừa sức, bám sát đề minh hoạ đã được công bố trước đó.

0:00 / 0:00
0:00
  • Nam miền Bắc
  • Nữ miền Bắc
  • Nữ miền Nam
  • Nam miền Nam

Sáng 8-6, sau 120 phút làm bài, hơn 102.000 sĩ tử Hà Nội đã hoàn thành môn thi cuối cùng trong kỳ thi tuyển sinh vào lớp 10 công lập năm 2025.

Nhiều thí sinh đánh giá đề Toán thi lớp 10 năm nay vừa sức, bám sát đề minh hoạ đã được công bố trước đó. Nhiều em tự tin đạt trên 8 điểm.

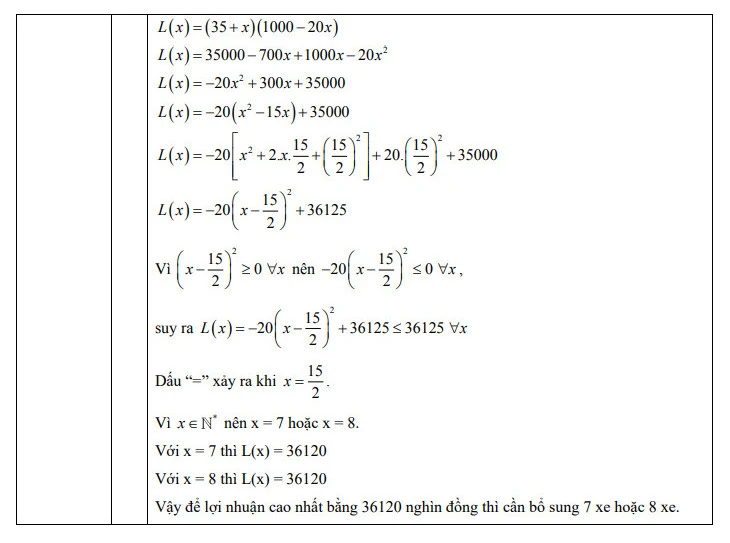
Dưới đây là đáp án tham khảo của trung tâm Tuyensinh247. Đáp án chính thức của Sở GD&ĐT Hà Nội sẽ được công bố sau.

đề Toán thi lớp 10 000.jpg
đề Toán thi lớp 10 0.jpg
đề toán thi lớp 10 hà nội 11.jpg
111.jpg
112.jpg
113.jpg
114.jpg
115.jpg

Hôm qua 7-6, các thí sinh đã hoàn thành bài thi môn Ngữ văn và tiếng Anh. Năm nay, đề thi được ra theo chương trình giáo dục phổ thông 2018. Đề thi được cả giáo viên và học sinh đánh giá hay, kích thích sự sáng tạo, gắn với thực tiễn, đảm bảo tính phân hoá.

Dự kiến từ ngày 4 đến 6-7, Sở GD&ĐT Hà Nội sẽ đồng thời công bố điểm thi và điểm chuẩn lớp 10 của từng trường. Thí sinh trúng tuyển xác nhận nhập học từ ngày 10 đến 12-7.

Đừng bỏ lỡ

Video đang xem nhiều

Đọc thêm