Gợi ý giải đề Toán thi vào lớp 10 tại TP.HCM

(PLO)- Đề Toán thi vào lớp 10 tại TP.HCM được giáo viên đánh giá không đánh đố. Vì thế, sẽ có mưa điểm 10 đối với môn này.

Sáng nay, hơn 76.000 thí sinh đã hoàn thành xong bài thi cuối cùng của kỳ thi vào lớp 10 thường năm học 2025-2026.

PLO giới thiệu gợi ý giải đề Toán thi vào lớp 10 của thầy Hoàng Hữu Vinh, giáo viên Trường THPT Vĩnh Viễn.

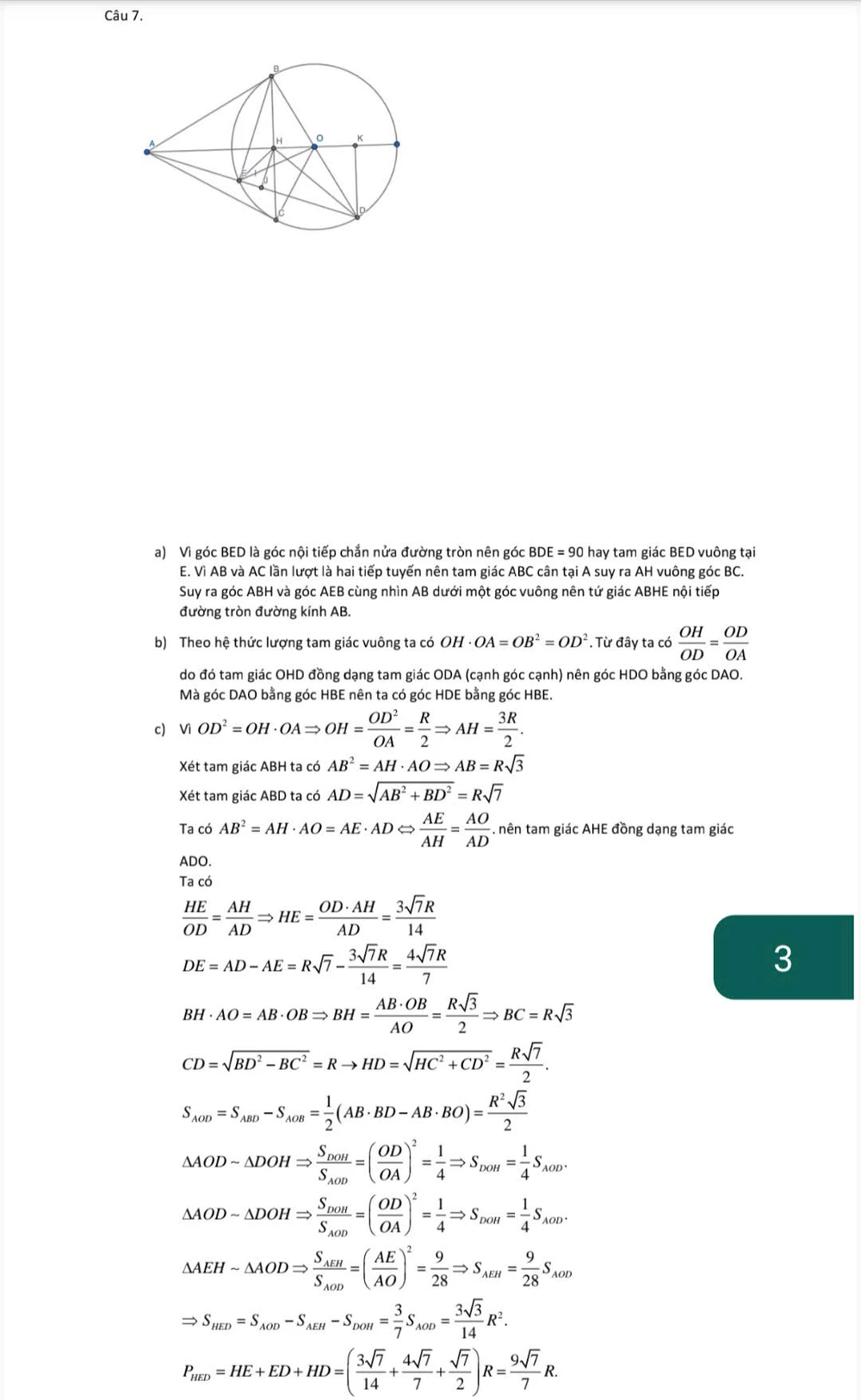
37a552559d9629c87087.jpg
85ed9f1e50dde483bdcc.jpg
19a0095bc69872c62b89.jpg
d69c43698caa38f461bb.jpg
Gợi ý giải đề Toán thi vào lớp 10

Đừng bỏ lỡ

Video đang xem nhiều

Đọc thêm