Bộ GD&ĐT: 28,75 điểm khối A00 tương đương 27,5 điểm khối D01

(PLO)- Bộ GD&ĐT công bố bách phân vị (cách xếp hạng theo phần trăm) 7 tổ hợp xét tuyển đại học phổ biến, cho thấy có điểm chênh lệch giữa các tổ hợp.

0:00 / 0:00
0:00
  • Nam miền Bắc
  • Nữ miền Bắc
  • Nữ miền Nam
  • Nam miền Nam

Ngày 22-7, Bộ GD&ĐT công bố bảng quy đổi điểm đối với 7 tổ hợp xét tuyển đại học phổ biến, gồm: A00 (Toán, Lý, Hóa), A01 (Toán, Lý, tiếng Anh), B00 (Toán, Hóa, Sinh), C00 (Văn, Sử, Địa), C00 (Toán, Lý, Văn), D01 (Toán, Văn, tiếng Anh), D07 (Toán, Hóa, tiếng Anh).

Đây là căn cứ để thí sinh tham khảo và để các trường tham khảo khi xây dựng bảng quy đổi điểm chuẩn giữa các phương thức, tổ hợp.

Bộ GD&ĐT đề nghị các trường tham khảo đối sánh phổ điểm, bách phân vị điểm 7 tổ hợp, môn chính xét tuyển, đặc thù của ngành hoặc của trường và đánh giá kết quả học tập của sinh viên khóa trước để xây dựng cách quy đổi điểm chuẩn tương đương.

Các trường sử dụng kết quả các kỳ thi riêng như đánh giá năng lực, tư duy hay phương thức khác, phải căn cứ bách phân vị của đơn vị tổ chức thi, từ đó xác định tổ hợp phù hợp để quy đổi chứ không "bắc cầu".

Ví dụ, đối với ngành X, điểm trúng tuyển theo kết quả thi tốt nghiệp THPT của tổ hợp A00 (tổ hợp gốc) là 25/30 điểm, tương ứng với điểm trúng tuyển của kỳ thi riêng là 75/120 điểm; nếu điểm trúng tuyển theo tổ hợp B00 là 24/30 thì không tiếp tục sử dụng điểm này để xác định tương ứng điểm trúng tuyển của kỳ thi riêng.

Theo phân tích của Tổ chuyên gia tư vấn kỹ thuật thành lập theo Quyết định số 1104/QĐ-BGDĐT, phương pháp bách phân vị được khuyến nghị sử dụng trong trường hợp quy đổi điểm giữa các bài thi đảm bảo thứ hạng thí sinh, tính công bằng, minh bạch và ổn định theo các đợt thi, các năm tuyển sinh.

Phương pháp bách phân vị (Percentile Equating) dựa trên phân bố điểm của 2 kỳ thi, xác định điểm ở cùng phân vị (percentile) để chuyển đổi. Theo cách này, bách phân vị quy đổi điểm thành các mức phân vị, giúp chỉ ra vị trí của thí sinh trong tổng thể điểm của nhóm.

Phân vị được sử dụng để so sánh thí sinh trong mối quan hệ với những thí sinh khác tham gia kỳ thi. Phương pháp quy đổi này chuyển đổi điểm thành phân vị, tức là xếp điểm số của một thí sinh vào một phân vị cụ thể theo phân phối điểm thi.

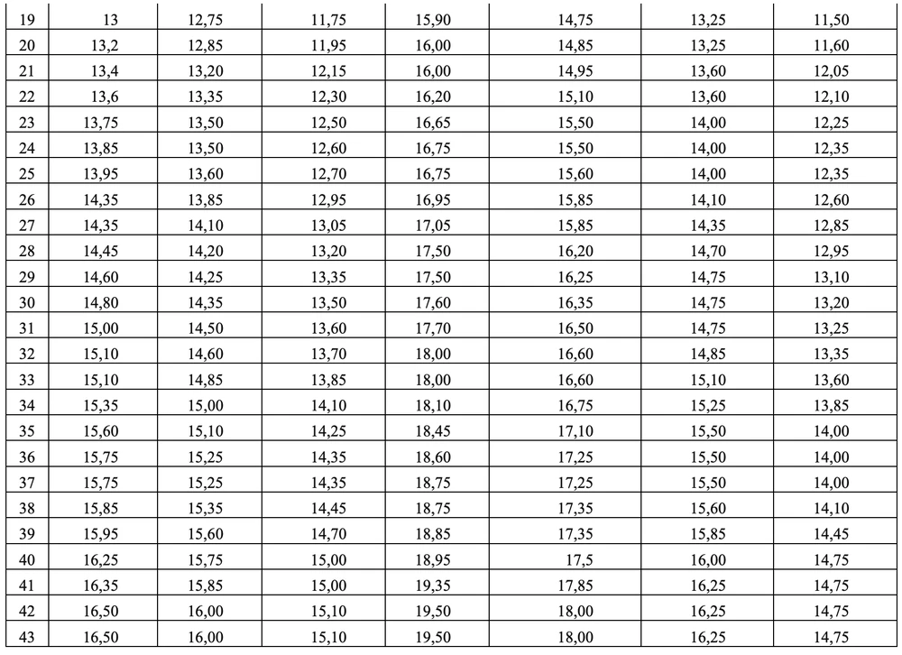
Bách phân vị tổng hợp 7 tổ hợp truyền thống theo kết quả thi tốt nghiệp THPT đã hiệu chuẩn như sau:

điểm trúng tuyển
Screenshot 2025-07-22 at 10.22.53.png
Screenshot 2025-07-22 at 10.23.00.png
Screenshot 2025-07-22 at 10.23.10.png
quy đổi điểm

Theo quy chế tuyển sinh năm 2025, các trường đại học sử dụng nhiều phương thức/tổ hợp xét tuyển cho một ngành/chương trình đào tạo sẽ phải quy đổi điểm về một thang điểm và một điểm chuẩn. Bộ GD&ĐT cho rằng việc này nhằm để đảm bảo công bằng trong tuyển sinh.

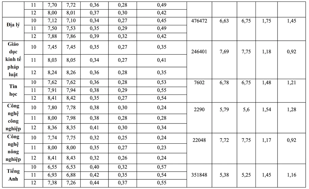
Tương quan giữa điểm các môn thi tốt nghiệp THPT với điểm trung bình các môn học ở bậc trung học phổ thông như sau:

Screenshot 2025-07-22 at 10.26.04.png
Screenshot 2025-07-22 at 10.26.12.png

Đừng bỏ lỡ

Video đang xem nhiều

Đọc thêm