Ông Trần Văn Long (Ninh Bình) hỏi: Trường hợp đóng đủ BHXH tự nguyện trước hạn sẽ được hưởng lương hưu sớm, như vậy có đúng không?
Theo quy định của pháp luật về BHXH hiện hành, để được hưởng lương hưu đối với người tham gia BHXH tự nguyện phải bảo đảm đủ hai điều kiện: Nam đủ 60 tuổi, nữ đủ 55 tuổi và từ đủ 20 năm đóng BHXH trở lên.
Những người tham gia BHXH đã đủ điều kiện về tuổi theo quy định nêu trên nhưng thời gian đóng BHXH còn thiếu không quá 10 năm thì được đóng một lần cho đủ 20 năm để hưởng lương hưu.
Mức đóng BHXH tự nguyện hằng tháng bằng 22% mức thu nhập tháng do người tham gia BHXH tự nguyện lựa chọn (mức lựa chọn không thấp hơn mức chuẩn nghèo khu vực nông thôn và không quá 20 lần mức lương cơ sở).
Cách tính đóng BHXH một lần cho những năm còn thiếu
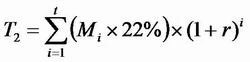
Mức đóng một lần cho những năm còn thiếu theo quy định tại Khoản 4, Điều 10 Nghị định số 134/2015 được xác định theo công thức sau:
Trong đó:
- T2: Mức đóng một lần cho những năm còn thiếu (đồng).
- Mi: Mức thu nhập tháng do người tham gia BHXH tự nguyện chọn tại thời điểm đóng (đồng/tháng).
- r: Lãi suất đầu tư quỹ BHXH bình quân tháng do BHXH Việt Nam công bố của năm trước liền kề với năm đóng (%/tháng).
- t: Số tháng còn thiếu, nhận một trong các giá trị từ 1 đến 120.
- i: Tham số tự nhiên có giá trị từ 1 đến t.
Xác định thời điểm hưởng lương hưu
Thời điểm hưởng lương hưu là ngày 1 tháng liền kề sau tháng người tham gia BHXH tự nguyện có đủ điều kiện hưởng lương hưu.
Trường hợp người tham gia BHXH đủ điều kiện hưởng lương hưu theo quy định mà vẫn tiếp tục tham gia BHXH tự nguyện thì thời điểm hưởng lương hưu là ngày 1 tháng liền kề sau tháng dừng đóng BHXH tự nguyện và có yêu cầu hưởng lương hưu.
Ví dụ: Bà Q đến tháng 10/2017 đủ 55 tuổi và có thời gian đã đóng BHXH là 16 năm 3 tháng còn thiếu 3 năm 9 tháng mới đủ 20 năm đóng BHXH. Bà lựa chọn phương thức đóng một lần cho 3 năm 9 tháng còn thiếu với mức thu nhập tháng lựa chọn là 3.000.000 đồng/tháng.
Giả định lãi suất đầu tư quỹ BHXH bình quân tháng do BHXH Việt Nam công bố của năm 2016 là 0,826%/tháng và mức thu nhập tháng bà Q lựa chọn cao hơn mức chuẩn hộ nghèo khu vực nông thôn do Thủ tướng Chính phủ quy định tại thời điểm tháng 10/2017. Mức đóng BHXH tự nguyện cho 3 năm 9 tháng (45 tháng) còn thiếu của bà Q sẽ là:
![]() |
Trường hợp người tham gia BHXH đã đủ tuổi nghỉ hưu theo quy định mà thời gian đã đóng BHXH còn thiếu trên 10 năm nếu có nguyện vọng thì vẫn tiếp tục đóng BHXH tự nguyện cho đến khi có đủ 20 năm đóng BHXH để được hưởng lương hưu theo quy định (tiếp tục đóng BHXH tự nguyện cho đến khi còn thiếu dưới 10 năm thì được đóng 1 lần cho thời gian còn thiếu theo quy định nêu trên).
Do câu hỏi chưa có đủ thông tin về tuổi và thời gian đã đóng BHXH nên không thể hướng dẫn chi tiết. Đề nghị đối chiếu với quy định nêu trên để thực hiện.
Theo Chinhphu.vn
