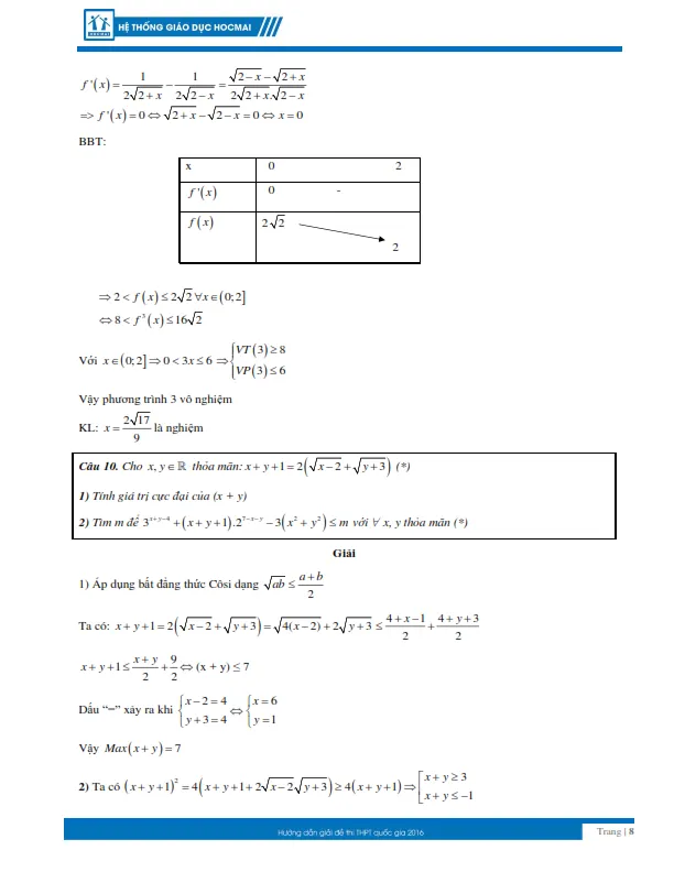
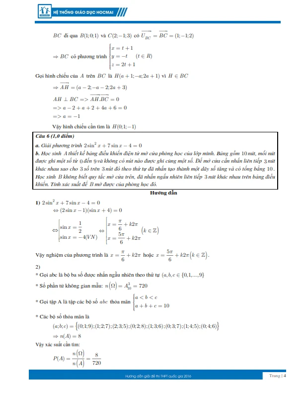
Kỳ thi THPT quốc gia 2016: Gợi ý giải đề thi môn toán

(PLO)- PLO cập nhật gợi ý bài giải đề thi môn Toán, nhận định bài giải trong thời gian sớm nhất. Đây là đề thi môn Toán, môn thi đầu tiên của kỳ thi THPT quốc gia 2015.

 

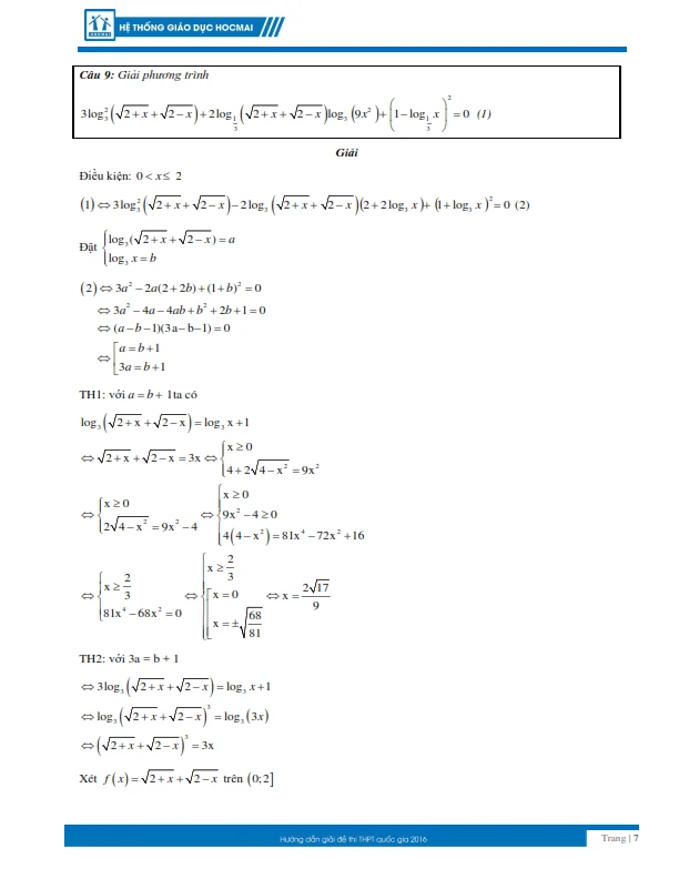
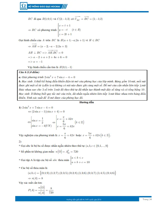
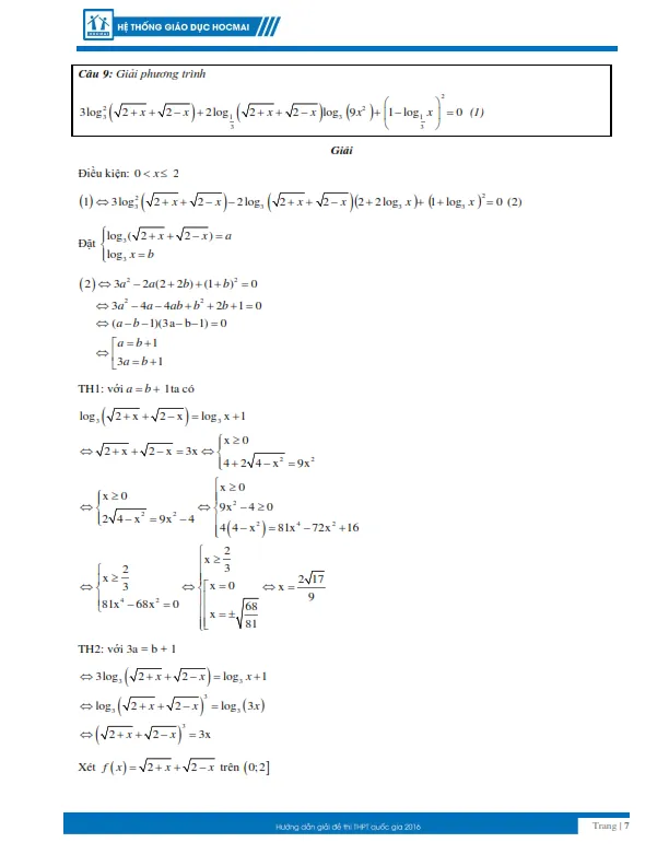
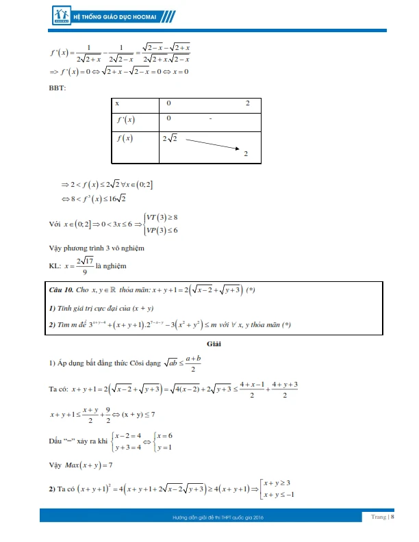
Gợi ý giải đề thi môn Toán của Hệ thống giáo dục Hocmai.vn, mời bạn đọc tải về xem tại đây 

Gợi ý giải đề thi môn Toán của Trung tâm Vĩnh Viễn, mời xem tại đây

ĐỀ THI MÔN TOÁN:

(*) Gợi ý bài giải do các giáo viên thuộc Hệ thống giáo dục Hocmai.vn và trung tâm Vĩnh Viễn thực hiện.

Đừng bỏ lỡ

Video đang xem nhiều

Đọc thêm