Bài giải gợi ý và đề thi môn Anh văn

(PLO) - Mời bạn đọc cùng xem đề thi, bài giải môn Anh văn kỳ thi THPT quốc gia 2016. 

Đáp án mã đề 168 mời xem tại đây 

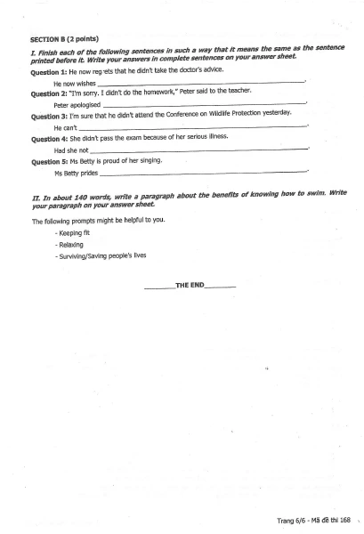
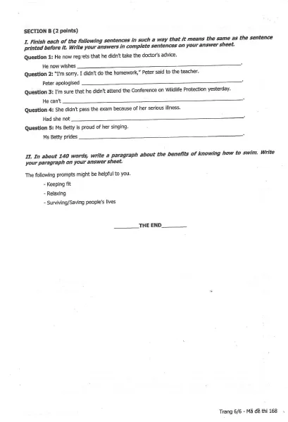
Mã đề 168 mời xem tại đây 

Mã đề 256 xem tại đây

(*) Gợi ý bài giải do các giáo viên thuộc Hệ thống giáo dục Hocmai.vn và trung tâm Vĩnh Viễn thực hiện.

Đừng bỏ lỡ

Video đang xem nhiều

Đọc thêm