Đại học Bách khoa Hà Nội công bố cách quy đổi điểm chuẩn tương đương

(PLO)- Đại học Bách khoa Hà Nội áp dụng phương pháp bách phân vị để tìm ra các mức điểm chuẩn tương đương giữa 3 phương thức tuyển sinh đại học.

0:00 / 0:00
0:00
  • Nam miền Bắc
  • Nữ miền Bắc
  • Nữ miền Nam
  • Nam miền Nam

Ngày 22-5, Đại học Bách khoa Hà Nội công bố phương án quy đổi điểm chuẩn tương đương giữa các phương thức tuyển sinh đại học.

Nhà trường áp dụng phương pháp bách phân vị (Percentile Equating) để tìm ra các mức điểm chuẩn tương đương giữa 3 phương thức tuyển sinh đại học bao gồm: xét tuyển tài năng (XTTN), xét tuyển theo điểm thi đánh giá tư duy (TSA) và xét tuyển theo điểm thi tốt nghiệp THPT.

Cơ sở đã tiến hành thống kê, phân tích dữ liệu tuyển sinh của 3 năm trở lại đây, các tổ hợp xét tuyển khác nhau, phân tích phổ điểm XTTN theo các diện, phổ điểm bài thi TSA, phổ điểm thi tốt nghiệp THPT với tổ hợp gốc là A00 (Toán, Lý, Hóa) để làm căn cứ xác định khoảng phân vị tương quan.

Trên cơ sở đó, tổ chuyên gia xây dựng bảng phân vị tương quan giữa các phương thức tuyển sinh đại học của Đại học Bách khoa Hà Nội.

Đại học Bách khoa Hà Nội
Bảng phân vị tương quan mức điểm chuẩn giữa các phương thức tuyển sinh của Đại học Bách khoa Hà Nội.

Đối với các tổ hợp điểm thi tốt nghiệp THPT khác ngoài tổ hợp gốc A00 cũng sẽ được Đại học Bách khoa Hà Nội tính toán dựa theo các mức điểm chênh tương ứng do Bộ GD&ĐT công bố cùng điểm thi tốt nghiệp THPT.

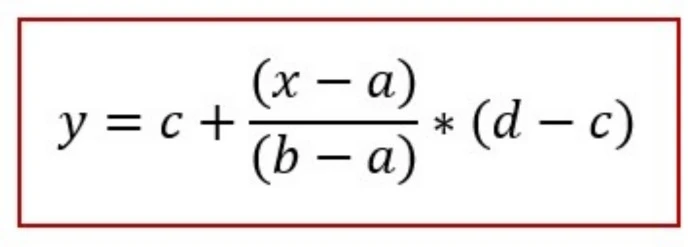
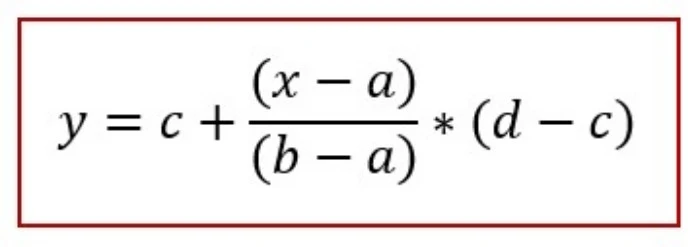
Từ bảng phân vị tương quan với các giá trị khoảng điểm phân vị cụ thể sẽ thực hiện nội suy hàm quy đổi mức điểm chuẩn giữa các phương thức tuyển sinh khác nhau. Từ mức điểm chuẩn thuộc khoảng phân vị của phương thức tuyển sinh này sẽ được nội suy tương đương sang mức điểm chuẩn thuộc khoảng phân vị tương ứng với phương thức tuyển sinh khác theo công thức như sau:

đại học bách khoa hà nội.jpg

Ví dụ về cách tính quy đổi điểm chuẩn tương đương cho dữ liệu năm 2024:

Dựa trên dữ liệu tuyển sinh 2024 và kết quả học tập của sinh viên, bảng phân vị tương quan mức điểm chuẩn giữa các phương thức tuyển sinh của Đại học Bách khoa Hà Nội được xác định cụ thể như sau:

đại học bách khoa hà nội 1.jpg

Ví dụ, trong năm 2024, điểm chuẩn (điểm trúng tuyển) của ngành/chương trình MS2 - Kỹ thuật vi điện tử và Công nghệ nano của Đại học Bách khoa Hà Nội theo phương thức TSA là 71.68 điểm (x = 71.68).

Như vậy, mức điểm chuẩn này sẽ thuộc khoảng phân vị 3 (khoảng 3), có giá trị điểm TSA từ [68.55 - 74.77). Khi đó, điểm chuẩn tương đương đối với điểm thi tốt nghiệp THPT sẽ thuộc khoảng phân vị tương ứng (khoảng 3) có giá trị điểm thi tốt nghiệp THPT từ [27.14 - 28.04). Từ đó xác định các hệ số quy đổi tương ứng sẽ là:

a = 68.55; b = 74.77; c = 27.14; d = 28.04

Áp dụng công thức nội suy tính điểm chuẩn tương đương đối với điểm thi tốt nghiệp THPT y từ điểm chuẩn TSA x = 71.68 sẽ được tính như sau:

0.jpg
1.jpg

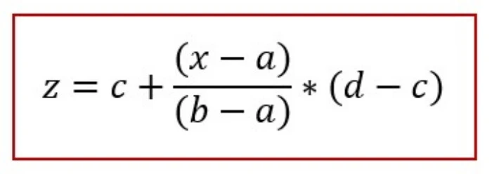
Tương tự, tính điểm chuẩn tương đương đối với điểm XTTN diện 1.3 cho chương trình MS2 sẽ thuộc khoảng phân vị tương ứng (khoảng 3) có giá trị điểm XTTN từ [73.87 - 87.20). Khi đó các hệ số quy đổi tương ứng sẽ là:

a = 68.55; b = 74.77; c = 73.87; d = 87.20

Áp dụng công thức nội suy tính điểm chuẩn tương đương đối với điểm XTTN diện 1.3 z từ điểm chuẩn TSA x = 71.68 sẽ được tính như sau:

2.jpg
3.jpg

Đừng bỏ lỡ

Video đang xem nhiều

Đọc thêm