Mới: Giá tính lệ phí trước bạ ô tô cao nhất là 40 tỉ

(PLO)- Bộ Tài chính vừa ban hành Quyết định 2018/QĐ-BTC bổ sung Danh mục Bảng giá tính lệ phí trước bạ ô tô, xe máy, có hiệu lực thi hành từ ngày 12-10.

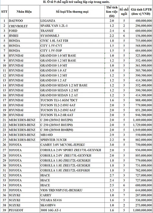
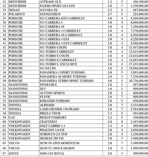
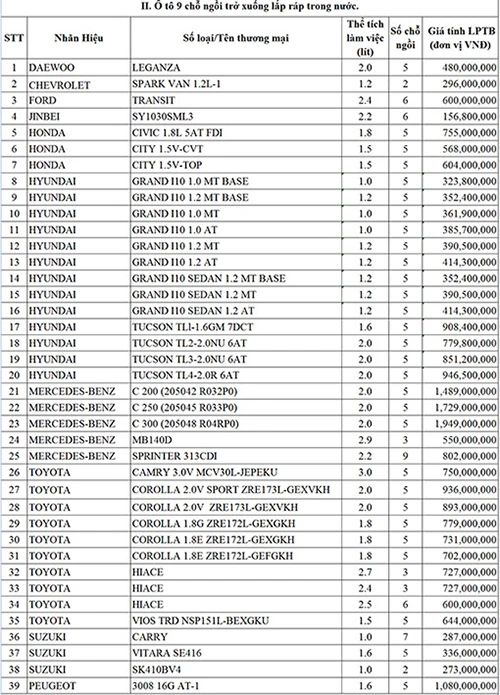
Theo đó, có 108 loại ô tô 9 chỗ trở xuống nhập khẩu và 69 loại xe máy, gồm cả xe điện, xe chạy xăng, xe nhập khẩu và xe sản xuất, lắp ráp trong nước... được bổ sung vào bảng giá tính lệ phí trước bạ lần này.

Đáng chú ý, trong danh sách này, xe Lamborghini Aventador S, hai chỗ ngồi có giá lên đến 40 tỉ đồng; xe Porsche thuộc dòng 911 có giá tính lệ phí trước bạ từ 6,6 đến 19 tỉ đồng; Lexus hơn 5 tỉ đồng...

Ford Ranger Wildtrak 2.2 được định giá 830 triệu đồng, Honda City 1.5V-TOP là 604 triệu đồng, xe Hyundai Santafe 2.4 là 1,358 tỉ đồng…

Mẫu xe máy có giá tính phí trước bạ cao nhất là Harley-Davidson CVO Street Glide có giá 1,605 tỉ đồng. Honda Lead có giá từ 37,5 đến 39,3 triệu đồng...

Bảng phí trước bạ theo một số loại ô tô, xe máy:

Đừng bỏ lỡ

Video đang xem nhiều

Đọc thêm