TP.HCM công bố đáp án môn chuyên trong kỳ thi tuyển sinh 10

(PLO)- Dự kiến ngày 29-7, Sở GD&ĐT TP.HCM sẽ công bố điểm chuẩn chuyên và tích hợp.

Chiều 19-7, Sở GD&ĐT TP.HCM công bố đáp án các môn thi chuyên trong kỳ thi tuyển sinh 10.

Dự kiến ngày 27-7 sẽ công bố điểm thi lớp 10; ngày 29-7 sẽ công bố điểm chuẩn chuyên, tích hợp vào lớp 10.

Thông tin từ Sở GD&ĐT TP.HCM, năm học 2020-2021, 6 trường THPT chuyên và THPT có lớp chuyên sẽ tuyển 1.645 học sinh.

Mời phụ huynh, học sinh theo dõi đáp án các môn dưới đây:

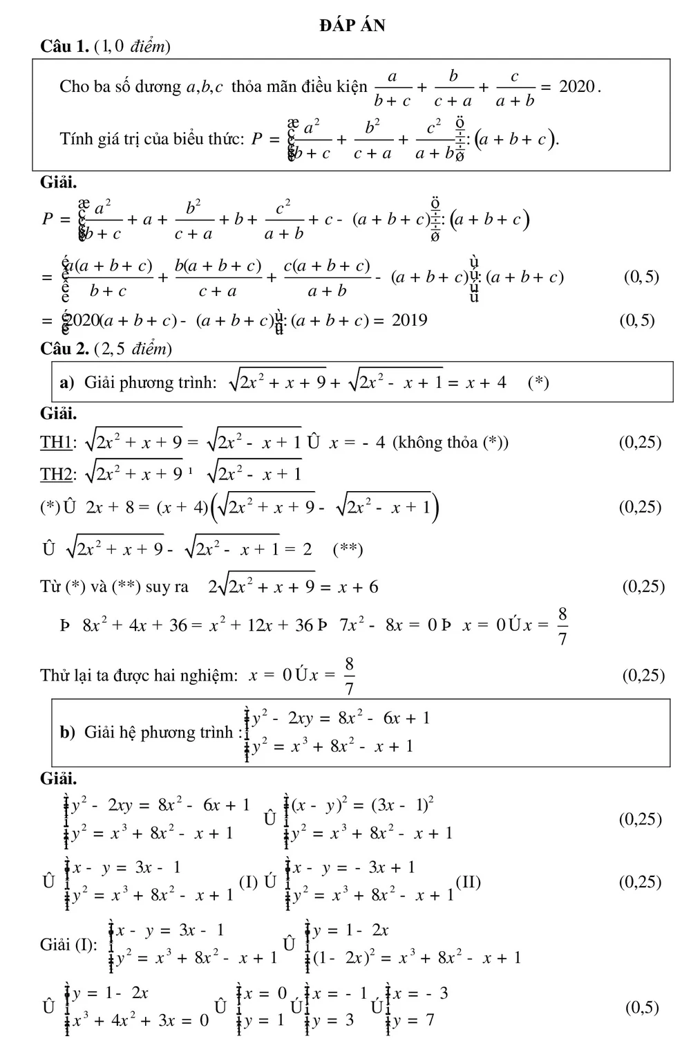
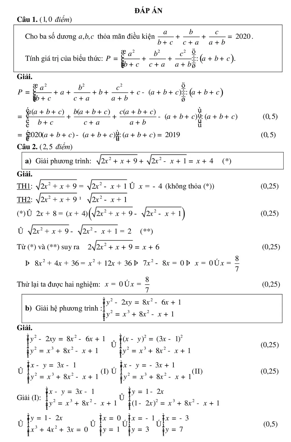
Môn Toán

Môn văn xem TẠI ĐÂY

Môn Sử xem TẠI ĐÂY

Môn Lý xem TẠI ĐÂY

Môn tiếng Anh xem TẠI ĐÂY

Môn Hóa xem TẠI ĐÂY

Môn Địa lý xem TẠI ĐÂY

Đừng bỏ lỡ

Video đang xem nhiều

Đọc thêm