Chi tiết mức phí tại 5 dự án thuộc cao tốc Bắc - Nam chuẩn bị thu từ 1-3

(PLO)- Xe con đi toàn tuyến cao tốc Vĩnh Hảo - Phan Thiết phải trả phí 90.000 đồng, còn chạy trên đoạn Phan Thiết - Dầu Giây dự kiến trả mức phí gần 129.000 đồng.

0:00 / 0:00
0:00
  • Nam miền Bắc
  • Nữ miền Bắc
  • Nữ miền Nam
  • Nam miền Nam

Để chuẩn bị cho việc thu phí dự kiến từ ngày 1-3, Cục Đường bộ Việt Nam vừa đề xuất Bộ Xây dựng phê duyệt mức thu phí chi tiết đối với phương tiện lưu thông trên 5 dự án thành phần thuộc tuyến cao tốc Bắc – Nam.

Theo đó, 4 tuyến gồm Mai Sơn - Quốc lộ 45, Quốc lộ 45 - Nghi Sơn, Nghi Sơn - Diễn Châu và Vĩnh Hảo - Phan Thiết áp dụng mức 900 đồng/PCU (xe con)/km.

Riêng tuyến Phan Thiết - Dầu Giây áp dụng mức 1.300 đồng/PCU/km. Tuyến này đã được đầu tư hoàn chỉnh, có làn dừng khẩn cấp nên mức thu cao hơn.

Ảnh màn hình 2026-02-25 lúc 14.00.08.png
Ảnh màn hình 2026-02-25 lúc 14.00.23.png
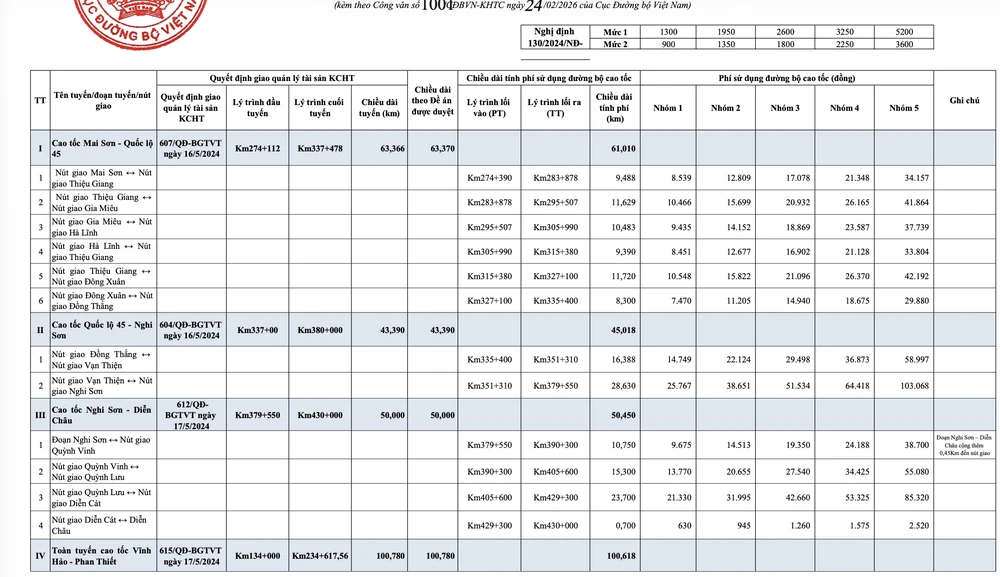
Mức phí cụ thể trên đường bộ cao tốc Bắc - Nam.

Cụ thể, tuyến Mai Sơn - Quốc lộ 45 có chiều dài tính phí hơn 61 km. Xe con đi từ nút giao Mai Sơn đến nút giao Đồng Thắng phải trả khoảng 55.000 đồng.

Tuyến Quốc lộ 45 - Nghi Sơn có chiều dài tính phí 45 km. Xe con đi từ nút giao Đồng Thắng đến nút giao Nghi Sơn phải trả khoảng 40.500 đồng.

Tuyến Nghi Sơn - Diễn Châu có chiều dài tính phí 50 km. Xe con đi từ nút giao Nghi Sơn đến nút giao Diễn Châu phải trả khoảng 45.000 đồng.

cuc-duong-bo.jpg
Hiện nhiều đoạn đường bộ cao tốc Bắc - Nam đang cho phương tiện chạy miễn phí. Ảnh: V.LONG

Dự án Vĩnh Hảo - Phan Thiết có chiều dài tính phí hơn 100 km. Xe con đi từ nút giao 134+000 đến nút giao Phan Thiết phải trả hơn 90.000 đồng.

Tuyến Phan Thiết - Dầu Giây có chiều dài tính phí 99 km. Xe con đi từ nút giao Phan Thiết đến km99+000 phải trả khoảng 128.700 đồng.

Các tuyến nêu trên đều thuộc dự án cao tốc Bắc - Nam giai đoạn 1 (2017-2020). Các tuyến đã được đưa vào khai thác từ tháng 4-2024.

Về thời gian thu phí, Bộ Xây dựng đang yêu cầu Cục Đường bộ chỉ đạo các chủ đầu tư hoàn thiện các hạng mục còn lại. Dự kiến việc thu phí sẽ bắt đầu từ ngày 1-3.

5 dự án cao tốc thuộc tuyến cao tốc Bắc - Nam được thu phí trong thời gian 7 năm. Cục Đường bộ được giao tổ chức thu phí. Hết thời hạn này, cơ quan quản lý sẽ tính toán phương án khai thác, quản lý hạ tầng phù hợp.

Dự án đường bộ cao tốc Bắc - Nam phía Đông được chia làm hai giai đoạn. Giai đoạn 1 đã hoàn thành.

Giai đoạn 2 (2021-2025) được Quốc hội thông qua chủ trương đầu tư, gồm các đoạn Hà Tĩnh - Quảng Trị (267 km), Quảng Ngãi - Nha Trang (353 km) và Cần Thơ - Cà Mau (109 km).

Dự án đi qua 12 tỉnh, thành và được chia thành 12 dự án độc lập, tổng vốn đầu tư 146.990 tỉ đồng. Theo kế hoạch, các dự án sẽ thông xe vào cuối năm 2025. Tuy nhiên, đến nay một số dự án thành phần bị chậm tiến độ chưa hoàn thành.

Theo đề án được Bộ Xây dựng phê duyệt các đoạn tuyến thực hiện thu phí gồm: Mai Sơn – quốc lộ 45; quốc lộ 45 – Nghi Sơn; Nghi Sơn – Diễn Châu; Vĩnh Hảo – Phan Thiết; Phan Thiết – Dầu Giây; Bãi Vọt – Hàm Nghi; Hàm Nghi – Vũng Áng; Vũng Áng – Bùng; Bùng – Vạn Ninh; Vạn Ninh – Cam Lộ; Hòa Liên – Túy Loan; Quảng Ngãi – Hoài Nhơn; Hoài Nhơn – Quy Nhơn; Quy Nhơn – Chí Thạnh; Chí Thạnh – Vân Phong; Vân Phong – Nha Trang; Cần Thơ – Hậu Giang; Hậu Giang – Cà Mau.

Bộ Xây dựng cho biết riêng đoạn Hòa Liên – Túy Loan và Phan Thiết – Dầu Giây áp dụng mức thu 1.300 đồng/PCU/km (mức 1). Các đoạn còn lại áp dụng mức thu 900 đồng/PCU/km (mức 2). Mức phí được tính theo quãng đường thực tế phương tiện lưu thông.

Đừng bỏ lỡ

Video đang xem nhiều

Đọc thêm