Báo Pháp Luật TP. Hồ Chí Minh
Giáo dục
Đề thi, bài giải gợi ý các mã đề môn Toán
22/06/2017 16:31
(PLO)- Một số thí sinh đã hoàn thành phần thi trắc nghiệm môn toán trong buổi chiều nay.
PLO
cập nhật đề thi cũng như bài giải gợi ý do Hệ thống giáo dục HOCMAI thực hiện.
Gợi ý bài giải
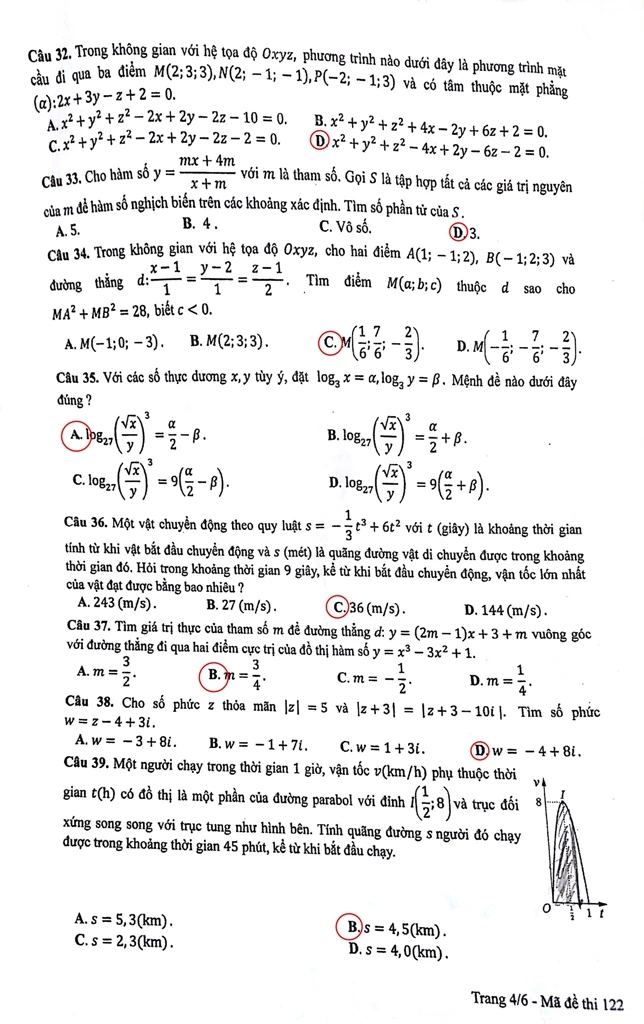
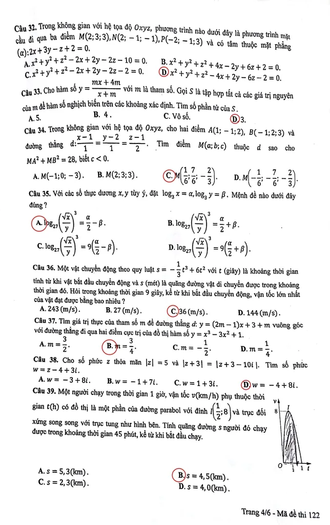
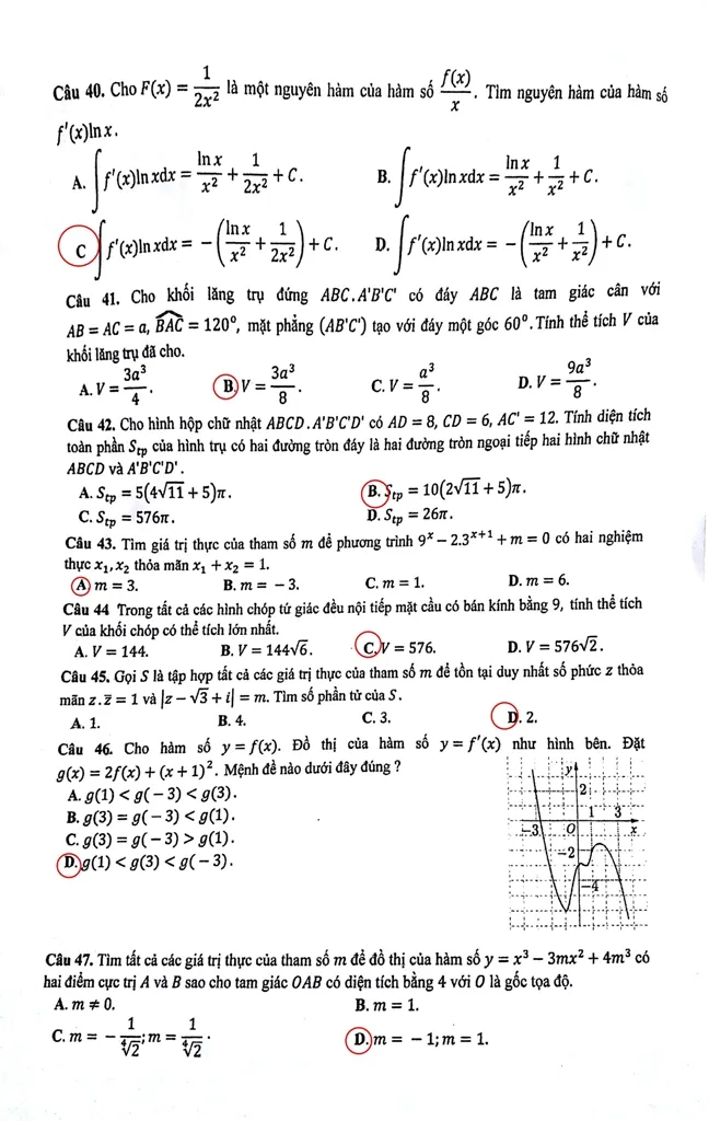
đề môn Toán - Mã đề 122
Đáp án và bản khoanh - Mã đề 122:
Mã đề 110
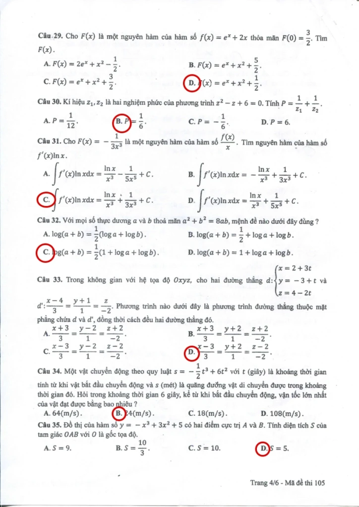
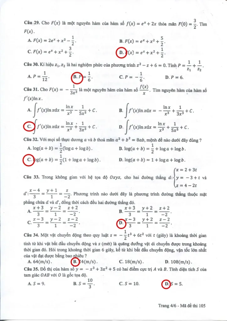
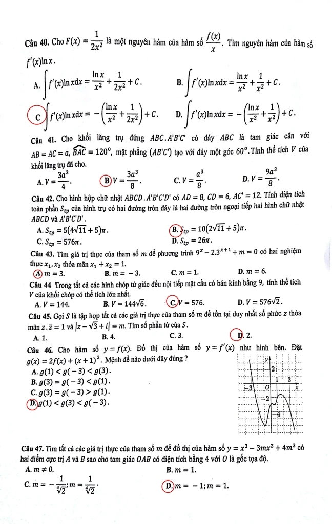
Mã đề 105
PLO
Đừng bỏ lỡ
Hơn 1.000 đại biểu tham gia tập huấn tuyên truyền bầu cử Quốc hội và HĐND các cấp khóa mới
2 kẻ cướp ngân hàng ở Gia Lai dùng kế 've sầu thoát xác'
LENS
Tài xế xe bán tải đánh tài xế ô tô 7 chỗ tử vong bị khởi tố thêm tội giết người
7 khu vực trung tâm TP.HCM đã hoàn tất chỉnh trang
Ông Nguyễn Văn Dũng được bầu làm Phó Chủ tịch HĐND TP.HCM
Trốn thuế hơn 470 triệu, 1 chủ doanh nghiệp tư nhân bị bắt
Tổng Bí thư Tô Lâm bắt đầu chuyến thăm cấp Nhà nước tới Campuchia
Họp báo vụ cướp ngân hàng ở Gia Lai: Hành trình truy bắt hai kẻ cướp
Bão Penha đổ bộ Philippines, tiếp tục di chuyển về hướng Biển Đông
Điều tra: Xe cứu thương kêu cứu - Bài 2: Từ chở đi chơi, đi nhậu đến chở chó, xe máy
Longform
Video đang xem nhiều
Du khách đổ bộ Cần Giờ check-in lễ hội khinh khí cầu: 'Thiên đường xanh' bùng nổ sắc xuân
Điều tra - bài 3: ‘Phù phép’ xe cứu thương, yêu cầu khách chia tiền khi bị xử phạt
Từ phóng sự điều tra 'Xe cứu thương kêu cứu': Đừng để niềm tin của người dân bị lợi dụng
Hành trình truy bắt hai kẻ cướp ngân hàng ở Gia Lai; Con dâu trộm vàng của mẹ chồng
Đọc thêm
Học sinh TP.HCM gói bánh chưng, vẽ túi canvas gây quỹ lo Tết cho các bạn nghèo
07/02/2026 11:08
Thành lập Phân hiệu Trường Đại học Luật TP.HCM tại Quảng Trị
06/02/2026 16:39
TP.HCM chi quà Tết Bính Ngọ 2 triệu đồng cho mỗi giáo viên
06/02/2026 12:01
Đề xuất đại học không được tăng chỉ tiêu nếu tỉ lệ sinh viên có việc làm dưới 70%
06/02/2026 09:25
Vụ giáo viên 'thêm chữ, sửa nét' ở Gia Lai: Kỷ luật cảnh cáo cô giáo
05/02/2026 18:24
Sở GD&ĐT TP.HCM điều động, bổ nhiệm loạt hiệu trưởng trường THPT
05/02/2026 16:37
Khánh Hòa chi gần 4 tỉ đồng sửa trường học bị hư hại sau mưa lũ lịch sử
05/02/2026 16:16
Vụ giáo viên 'thêm chữ, sửa nét' ở Gia Lai: UBND tỉnh chỉ đạo xử lý dứt điểm
04/02/2026 18:22
Cảnh báo: Chiêu trò mạo danh cán bộ tuyển sinh Sở GD&ĐT lừa đảo phụ huynh
04/02/2026 17:30
Học sinh lớp 7 sáng tạo trò chơi giáo dục, giành giải nhất cuộc thi khởi nghiệp
04/02/2026 15:32
Cha con nghệ sĩ Mai Thanh Sơn cùng hòa tấu 'Một vòng Việt Nam' tại sân trường
04/02/2026 15:12
TP.HCM: 1 phường sẵn sàng hỗ trợ kinh phí nâng cao ngoại ngữ cho giáo viên
04/02/2026 15:09
Thịt hết hạn vào trường học, doanh nghiệp phải chịu trách nhiệm pháp lý
04/02/2026 15:04
Kỳ thi lớp 10 tại TP.HCM có thể diễn ra vào cuối tháng 5
04/02/2026 09:35
Phụ huynh TP.HCM khó đăng nhập hệ thống tuyển sinh đầu cấp, Sở GD&ĐT nêu hướng dẫn
03/02/2026 15:09
Từ hôm nay, phụ huynh TP.HCM rà soát dữ liệu tuyển sinh đầu cấp
03/02/2026 07:27
Học sinh Hưng Yên là thủ khoa thi đánh giá tư duy đợt 1
03/02/2026 07:25
18 địa phương 'chốt' môn thứ 3 thi lớp 10
02/02/2026 15:53
'Tuyệt chiêu' giám sát bữa ăn bán trú: Trường dùng 2 đơn vị cung cấp
01/02/2026 10:18
Đề thi đánh giá năng lực năm 2026 của ĐH Quốc gia TP.HCM như thế nào?
01/02/2026 08:01
Đọc nhiều
Tiện ích
Tiện ích
Lịch tư vấn pháp luật
Bạn đọc góp ý
Liên hệ quảng cáo
Thông tin tòa soạn
Dịch vụ công CATP
Chế độ tối
Tin mới
Danh mục
Tất cả chuyên mục
Thời sự
Chính trị
Thời luận
Chính kiến
Cùng lên tiếng
Pháp luật
Chat với chuyên gia
Chính sách mới
Luật và đời
Kinh tế
Pháp lý 4.0
Quản lý
Doanh nghiệp - Cộng đồng
Phát triển Xanh
Gỡ vướng pháp lý
Đơn vị tiêu biểu
Tài chính Xanh
Đô thị
Giao thông
Môi trường
An ninh trật tự
Hồ sơ phá án
Quốc tế
Sự kiện
Quân sự
Muôn mặt
Xã hội
Giáo dục
Chọn trường - Chọn nghề
Sức khỏe
Bác sĩ online
Văn hóa
Ăn sạch sống khỏe
Thể thao
Trong nước
Quốc tế
Fair Play
Các môn khác
Video
Bạn đọc
Ý kiến bạn đọc
Tôi muốn hỏi
Cải chính
Tổ ấm tôi mơ
Thị trường - Tiêu dùng
Nhịp sống đô thị
Đèn trên biển
Thư viện ảnh
Chuyện ra khơi
Tin tức
Tài chính - Ngân hàng
Pháp lý cho kiều bào
Xe và Luật
Bất động sản
Kỷ nguyên số
Văn bản pháp luật
Trang địa phương
Video
E-Magazine
Infographic
Ảnh
Story
LENS
Mới nhất
Xem nhiều
Tin nóng