Gợi ý giải bài thi môn Anh văn do các giáo viên thuộc trung tâm Vĩnh Viễn thực hiện. Mời xem tại đây.Mã đề 194
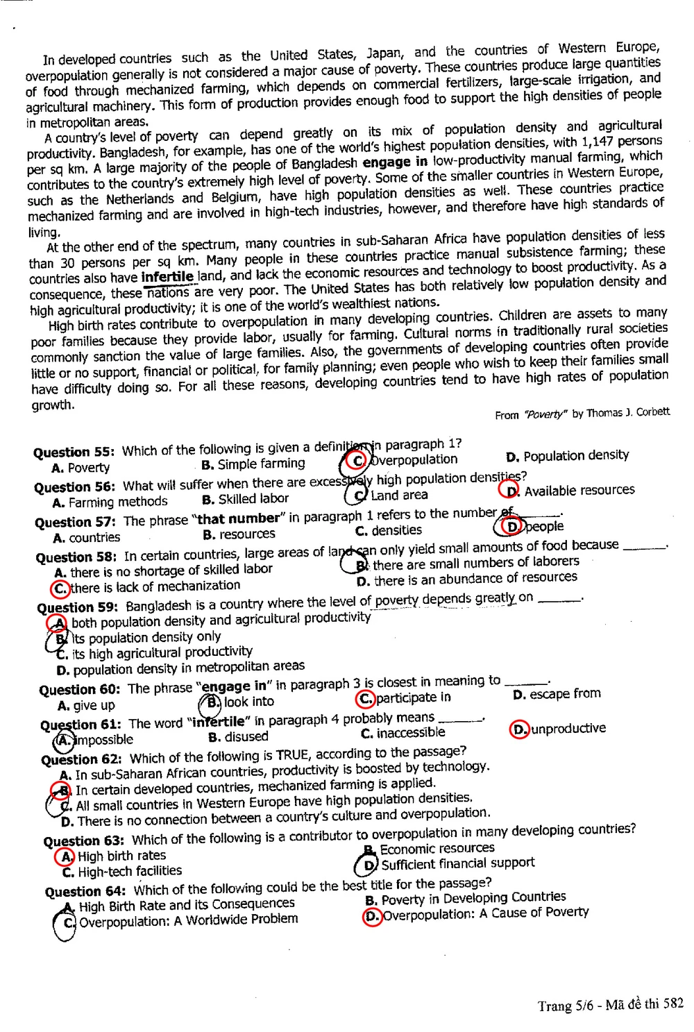
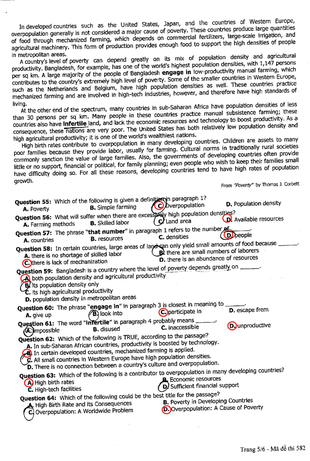
Gợi ý bài giải môn Anh Văn do các giáo viên thuộc trung tâm hocmai.vn Online thực hiện. Mã đề582
Gợi ý giải bài thi môn Anh văn do các giáo viên thuộc trung tâm Vĩnh Viễn thực hiện. Mời xem tại đây.Mã đề 194
Gợi ý bài giải môn Anh Văn do các giáo viên thuộc trung tâm hocmai.vn Online thực hiện. Mã đề582