CSGT Bình Thuận thông báo 226 ô tô vi phạm tốc độ, tín hiệu đèn

(PLO)- Từ 14-5 đến 31-5 trên Quốc lộ 1A qua tỉnh Bình Thuận, có 226 ô tô vi phạm trật tự an toàn giao thông.

0:00 / 0:00
0:00
  • Nam miền Bắc
  • Nữ miền Bắc
  • Nữ miền Nam
  • Nam miền Nam

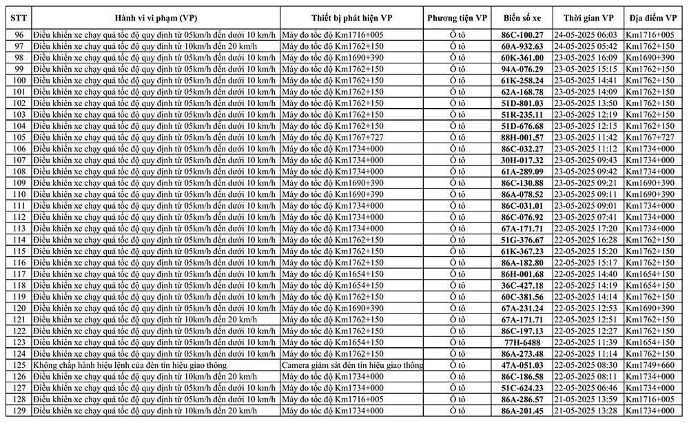
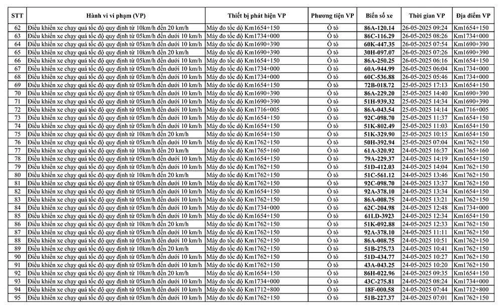
Phòng Cảnh sát giao thông Công an tỉnh Bình Thuận vừa có thông báo và công bố danh sách 226 phương tiện vi phạm trật tự an toàn giao thông (TTATGT) qua Hệ thống giám sát - xử lý vi phạm TTATGT trên tuyến Quốc lộ 1A qua địa bàn tỉnh Bình Thuận (từ ngày 14-5-2025 đến ngày 31-5-2025).

vi phạm tốc độ
Camera ghi lại phương tiện vượt đèn đỏ ngày 28-5.

Theo đó, trong thời hạn 10 ngày kể từ ngày vi phạm, Phòng CSGT gửi thông báo đến chủ phương tiện vi phạm, tổ chức, cá nhân có liên quan đến vi phạm hành chính được biết và phối hợp thực hiện giải quyết theo quy định.

Trong thời gian này, thông tin vi phạm sẽ được Phòng CSGT đăng tải trên Trang thông tin điện tử của Cục CSGT. Để tra cứu phương tiện vi phạm, người dân có thể truy cập vào đường link https: //www.csgt.vn/tra-cuu-phuong-tien-vi-pham.html và thực hiện theo hướng dẫn; hoặc có thể tra cứu vi phạm “phạt nguội” thông qua ứng dụng 𝐕𝐍𝐞𝐓𝐫𝐚𝐟𝐟𝐢𝐜.

Phòng CSGT yêu cầu chủ phương tiện, tổ chức, cá nhân có liên quan đến vi phạm hành chính đến các điểm tiếp dân của Phòng CSGT Công an tỉnh Bình Thuận hoặc trụ sở Phòng CSGT Công an tỉnh (nơi cư trú) để giải quyết vụ việc.

Quá thời hạn 20 ngày, kể từ ngày gửi thông báo vi phạm, chủ phương tiện, tổ chức, cá nhân có liên quan đến vi phạm hành chính không đến giải quyết hoặc Phòng CSGT Công an tỉnh Bình Thuận chưa nhận được thông báo kết quả giải quyết, xử lý vụ việc của Phòng CSGT Công an tỉnh (nơi cư trú) sẽ gửi thông báo cảnh báo phương tiện giao thông vi phạm cho cơ quan đăng kiểm.

Được biết trong số 226 phương tiện vi phạm có rất nhiều ô tô đăng ký ở các tỉnh, thành như: Đà Nẵng, Lâm Đồng, Khánh Hòa, Đồng Nai, Bình Dương, Ninh Thuận, Bà Rịa-Vũng Tàu…

Trong đó hầu hết là vi phạm tốc độ, có một số phương tiện đăng ký ở TP.HCM, Đắk Lắk, Đồng Nai… không chấp hành hiệu lệnh của đèn tín hiệu giao thông phát hiện qua camera giám sát.

Theo đó, các phương tiện vượt đèn đỏ hoặc đèn vàng, thậm chí khi đèn tín hiệu đã chuyển sang màu xanh mà phương tiện không di chuyển (dù không gặp sự cố) cũng bị phạt lỗi này.

Dưới đây là danh sách 226 phương tiện vi phạm tốc độ, không chấp hành hiệu lệnh của đèn tín hiệu giao thông:

1.jpg
2.jpg
3.jpg
4.jpg
5.jpg
6.jpg
7.jpg
Danh sách các phương tiện vi phạm tốc độ, không chấp hành hiệu lệnh của đèn tín hiệu giao thông.

Đừng bỏ lỡ

Video đang xem nhiều

Đọc thêm