CSGT thông báo danh sách 232 ô tô vi phạm tốc độ trên quốc lộ 1A đoạn qua Bình Thuận

(PLO)- Công an tỉnh Bình Thuận thông báo danh sách 232 ô tô vi phạm tốc độ và yêu cầu chủ xe đến giải quyết, nếu không sẽ gửi cho đăng kiểm cảnh báo vi phạm.

0:00 / 0:00
0:00
  • Nam miền Bắc
  • Nữ miền Bắc
  • Nữ miền Nam
  • Nam miền Nam

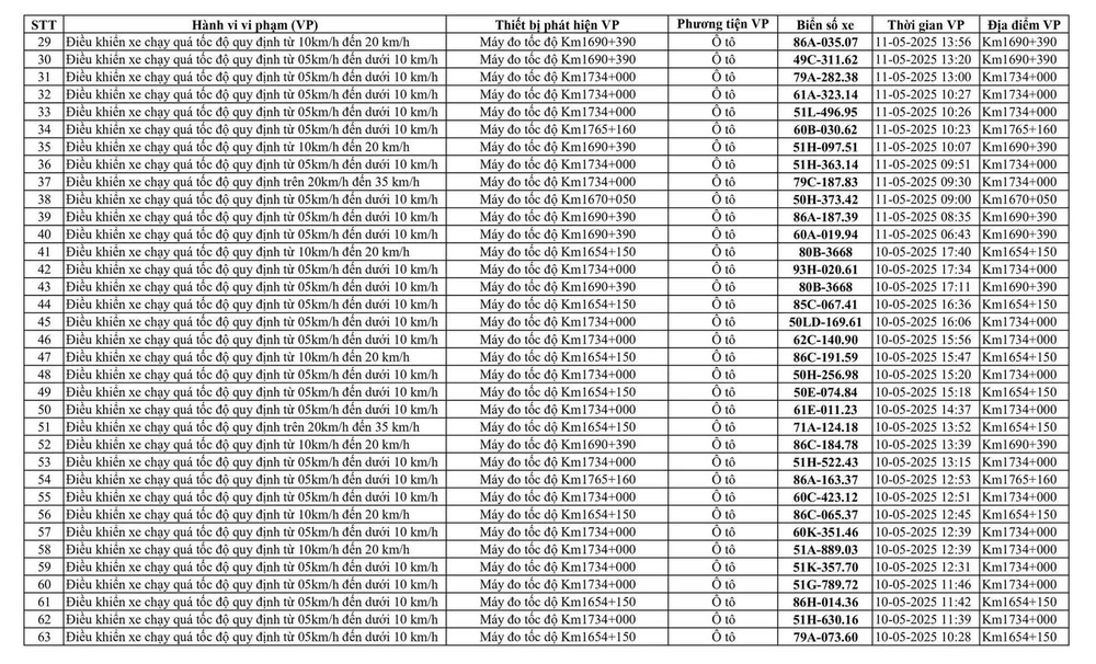
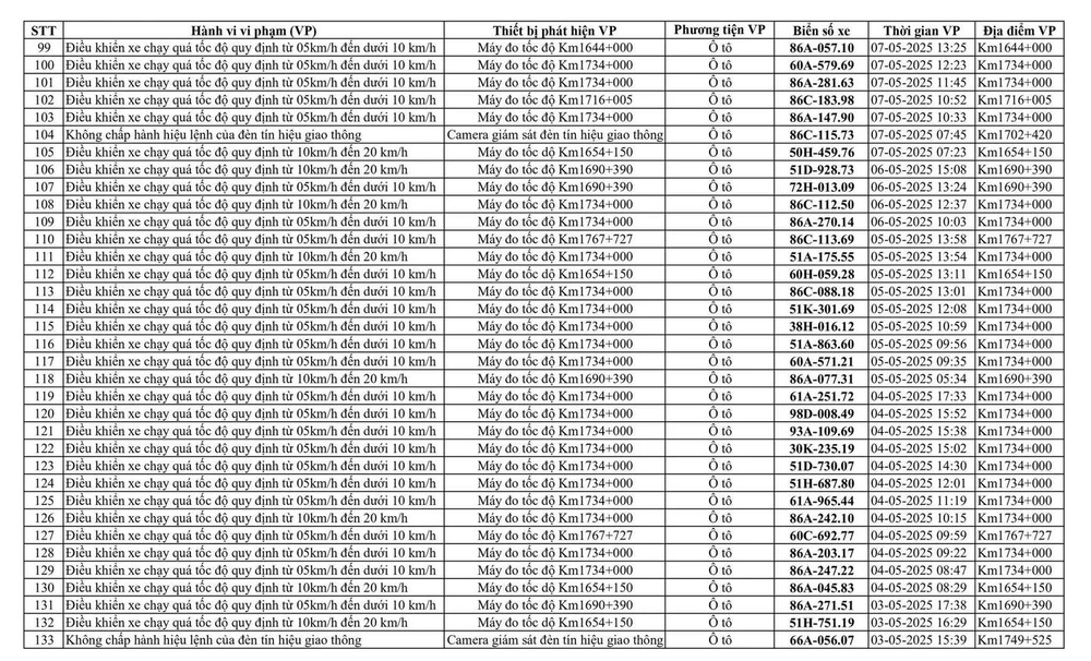
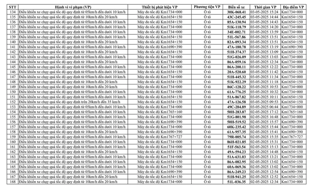
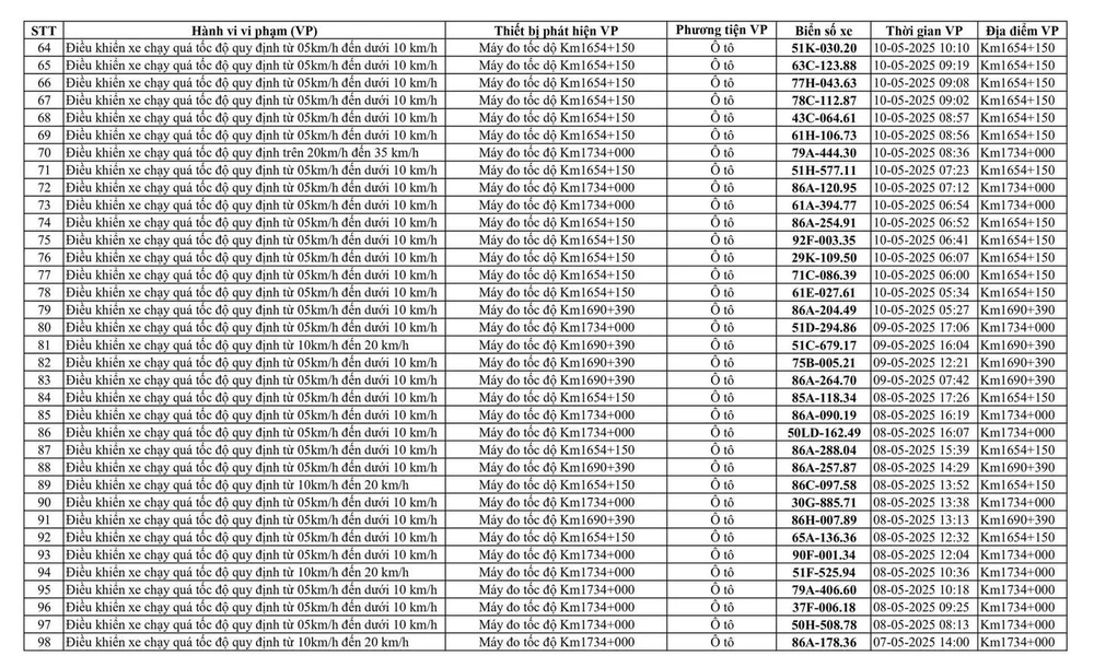
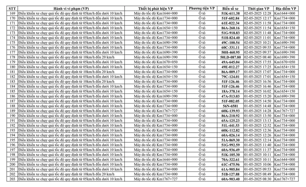
Phòng Cảnh sát giao thông (CSGT) Công an tỉnh Bình Thuận vừa có thông báo danh sách 232 phương tiện vi phạm về trật tự an toàn giao thông đường bộ được phát hiện và ghi nhận qua Hệ thống giám sát - xử lý vi phạm trật tự, an toàn giao thông trên tuyến quốc lộ 1A, từ ngày 30-4 đến 14-5-2025.

vi phạm hành chính
Phương tiện vi phạm tốc độ trên QL1A đoạn qua Bình Thuận.

Theo đó, trong thời hạn 10 ngày kể từ ngày vi phạm, Phòng CSGT gửi thông báo đến chủ phương tiện vi phạm, tổ chức, cá nhân có liên quan đến vi phạm hành chính được biết và phối hợp thực hiện giải quyết theo quy định.

Phòng CSGT yêu cầu chủ phương tiện, tổ chức, cá nhân có liên quan đến vi phạm hành chính đến các điểm tiếp dân của Phòng CSGT Công an tỉnh Bình Thuận hoặc trụ sở Phòng CSGT Công an tỉnh (nơi cư trú) để giải quyết vụ việc.

vi-pham-hanh-chinh (1).jpg
CSGT lưu ý khi đến giải quyết mang đầy đủ các loại giấy tờ liên quan.

“Quá thời hạn 20 ngày, kể từ ngày gửi thông báo vi phạm, chủ phương tiện, tổ chức, cá nhân có liên quan đến vi phạm hành chính không đến giải quyết hoặc Phòng CSGT Công an tỉnh Bình Thuận chưa nhận được thông báo kết quả giải quyết, xử lý vụ việc của Phòng CSGT Công an tỉnh, thành (nơi cư trú) sẽ tiến hành gửi thông báo cảnh báo phương tiện giao thông vi phạm cho cơ quan đăng kiểm’, văn bản của Phòng CSGT lưu ý.

Các điểm tiếp dân của Phòng CSGT Công an tỉnh Bình Thuận:

Chủ phương tiện, tổ chức, cá nhân có nơi cư trú, nơi đóng trụ sở tại huyện Đức Linh, Tánh Linh, Hàm Tân và thị xã Lagi: liên hệ Trạm CSGT Hàm Tân, Phòng CSGT Công an tỉnh Bình Thuận (trụ sở đóng tại xã Tân Đức, huyện Hàm Tân, số điện thoại: 02523.556.102) để được hướng dẫn, xử lý vi phạm theo quy định.

Chủ phương tiện, tổ chức, cá nhân có nơi cư trú, nơi đóng trụ sở tại huyện Tuy Phong, Bắc Bình: liên hệ Đội CSGT số 1, Phòng CSGT Công an tỉnh Bình Thuận (trụ sở đóng tại xã Phú Lạc, huyện Tuy Phong, số điện thoại: 02523.85.13.13) để được hướng dẫn, xử lý vi phạm theo quy định.

Chủ phương tiện, tổ chức, cá nhân có nơi cư trú, nơi đóng trụ sở tại huyện Phú Quý, Hàm Thuận Nam, Hàm Thuận Bắc và TP Phan Thiết: liên hệ Đội Tuyên truyền, điều tra, giải quyết tai nạn và xử lý vi phạm giao thông, Phòng CSGT Công an tỉnh Bình Thuận (trụ sở đóng tại số 115 Tôn Đức Thắng, TP Phan Thiết, số điện thoại: 069.3428.336) để được hướng dẫn, xử lý vi phạm theo quy định.

Được biết, trong số 232 phương tiện vi phạm tốc độ có nhiều ôtô đăng ký tại TP.HCM, Ninh Thuận, Đồng Nai, Huế, Bình Dương, Hà Nội, Khánh Hòa, Phú Yên…Theo Phòng CSGT Công an tỉnh Bình Thuận các chủ phương tiện, tổ chức, cá nhân có nơi cư trú ở tỉnh, thành nào thì đến trụ sở Phòng CSGT Công an tỉnh, thành nơi mình cư trú để được giải quyết.

Dưới đây là danh sách, địa điểm các phương tiện vi phạm tốc độ:

1.jpg
2.jpg
3.jpg
4.jpg
5.jpg
6.jpg
7.jpg

Đừng bỏ lỡ

Video đang xem nhiều

Đọc thêm